awc777万象城娱乐官网
网站首页
机构概况
处室领导
部门简介
工作人员职责
党建园地
党员学习
支部生活
教学运行
教学进程
运行三表
考试考核
督导工作
教务简报
教学诊改
社会扩招
教学建设
专业建设
课程建设
实训基地
国家标准
学籍学历
通知信息
政策制度
工作运行
数据统计
常用下载
质量工程
本科教育
本科动态
课程建设
党团活动
通知公告
实习管理
实习动态
服务指南
政策法规
社会扩招
社招动态
扩招制度
培养方案
授课资料
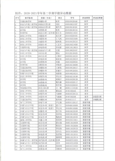
关于awc官网2020-2021学年第二学期学籍异动情况的通报 教函〔2021〕14号
作者:教务处 发布时间:2021-07-23 信息来源: 阅读次数:
次
【关闭】